O valor das inscrições varia de R$ 60,00 a R$ 120,00 reais; a data das provas ainda será divulgada.
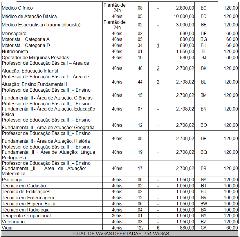
O portal Revista Central divulgou em primeira mão a publicação de edital do concurso público da Prefeitura Municipal de Quixadá. Ao todos são ofertadas 754 vagas para diversos cargos de nível fundamental, médio e superior, com salários variável de R$ 880,00 até R$ 10.000,00 mil reais.
5% (cinco por cento) dos cargos ofertados neste Edital serão destinados aos candidatos com deficiência, desde que esta (deficiência) não os impossibilite ao exercício do cargo, observadas as disposições contidas na Lei Complementar Municipal nº 01, de 23 de novembro de 2007 e art. 17, da Lei Municipal nº 995, de 25 de novembro de 2013.
Inscrição
A inscrição no concurso será, exclusivamente, via Internet, e o candidato deverá acessar o endereço eletrônico: www.serctam.com.br durante o período de 02 de março de 2016 a 14 de março de 2016, até as 23h:59min, horário local, através dos links correlatos ao Concurso Público, e efetuar sua pré-inscrição. O valor das inscrições varia de R$ 60,00 a R$ 120,00 reais.
O boleto de pagamento estará disponível no endereço eletrônico “www.serctam.com.br, e deverá ser impresso para o pagamento do valor da inscrição, logo após a conclusão do preenchimento da ficha de pré-inscrição (on-line), de acordo com as instruções constantes no endereço eletrônico. Todos os candidatos aos diversos cargos farão prova na cidade de Quixadá.
Isenção
O formulário de requerimento de isenção está disposto no Anexo III, deste Edital e deverá ser entregue, até o terceiro dia útil de inscrição (Dia 04 de março de 2016) na “Fundação Cultural de Quixadá”, situada na Rua José Jucá, 343, Centro (Praça da Cultura), das 08h:00min às 13h:00min, ou postados, via correios, para a Caixa Postal Nº 2671, CEP Nº 60.120-970, com data de postagem dentro do prazo.
Provas
O Concurso constará de provas: I – de títulos: somente para os candidatos aos cargos de Professor de Educação Básica, Classe I e Professor de Educação Básica, Classe II e para os candidatos concorrentes aos cargos de Nível Superior.
Esforço físico (de caráter eliminatório): somente para os candidatos concorrentes ao cargo de Guarda Civil Municipal.
As provas escritas serão aplicadas na cidade de Quixadá, em data(s), horário(s) e locais a serem oportunamente divulgados.
Confira as vagas do concurso público da Prefeitura Municipal de Quixadá de 2016.


Baixe o edital e os anexos!
Edital
Anexo I
Anexo II
Anexo III
Anexo IV
Anexo V
Anexo VI
Anexo VII
Anexo VIII
